Bagi kamu yang sedang cari-cari informasi file dengan format ppt,pdf,doc yang relevan dengan kata kunci diagnosa keperawatan pasien batuk pilek ,anda telah mampir di postingan website yang pas . Saya admin Chiarafans.club telah menyiapkan beberapa dokumen dalam bentuk ppt,pdf,doc dengan bermacam topik populer mulai dari kesehatan, lingkungan, bisnis, pendidikan, internet, asuransi, pertanian, dan masih banyak lagi tema menarik yang dapat kamu temukan disini.
diagnosa keperawatan pasien batuk pilek Download
| Title | Source | Updated At |
|---|---|---|
| ASUHAN KEPERAWATAN PASIEN DENGAN ASMA | karyatulisilmiah.com | 3 weeks ago |
| LAPORAN PENDAHULUAN | karyatulisilmiah.com | 1 month ago |
| ASUHAN KEPERAWATAN BRONKHIOLITIS | gedesatria.files.wordpress.com | 5 days ago |
| Modul I :Konsep perspektif keperawatan Anak , pertumbuhan ... | www.akperbinainsan.ac.id | 3 weeks ago |
| BAB I - 000space.com | bidanpurnama.000space.com | 2 months ago |
| journal.poltekkes-mks.ac.id | journal.poltekkes-mks.ac.id | 1 week ago |
| talirambut.files.wordpress.com | talirambut.files.wordpress.com | 2 weeks ago |
| B | zandoang.files.wordpress.com | 4 weeks ago |
| suwela.files.wordpress.com | suwela.files.wordpress.com | 3 weeks ago |
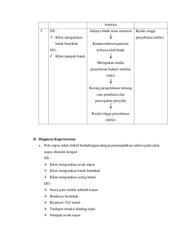
Diagnosa Keperawatan Pasien Batuk Pilek Preview dan Sample
Unduh eBook Lainnya
Anda anda ingin cari-cari ebook lain selain diagnosa keperawatan pasien batuk pilek. Cukup dengan ketikkan kata kunci yang kamu inginkan di kolom pencarian, dan kamu dapat menemukan dokumen yang berkaitan dengan kata kunci. Baca atau download di smartphone atau laptop kamu sebagai koleksi yang dapat kamu baca kapan pun dimanapun .
Cari dan temukan beragam text dan berkas berbasis file Microsoft Word, PDF atau Powerpoint dengan gampang serta gratis. Dapatkan dokumen apapun yang kamu mau cuma dengan beberapa langkah sederhana .
