ads2

ads3

Asuhan Keperawatan Pada Pasien Edema Anasarka

Untuk kamu yang lagi cari-cari informasi berkas dengan format ppt,pdf,doc yang relevan dengan kata kunci asuhan keperawatan pada pasien edema anasarka ,kamu sudah sampai di halaman situs yang benar . Kami admin Chiarafans.club sudah siapkan beberapa dokumen dalam format ppt,pdf,doc dengan beragam topik terkenal mulai dari kesehatan, lingkungan, bisnis, pendidikan, internet, asuransi, pertanian, dan masih banyak lagi topik menarik yang bisa kamu temukan disini.

asuhan keperawatan pada pasien edema anasarka Download

Title Source Updated At
BUKU PANDUAN - STIKES MUHAMMADIYAH KLATEN www.stikesmukla.ac.id 2 months ago
di unggah dari https://lentzexplore.wordpress.com/ lentzexplore.files.wordpress.com 1 week ago
R.Jantung karyatulisilmiah.com 1 week ago
lcncreatif.files.wordpress.com lcncreatif.files.wordpress.com 1 week ago

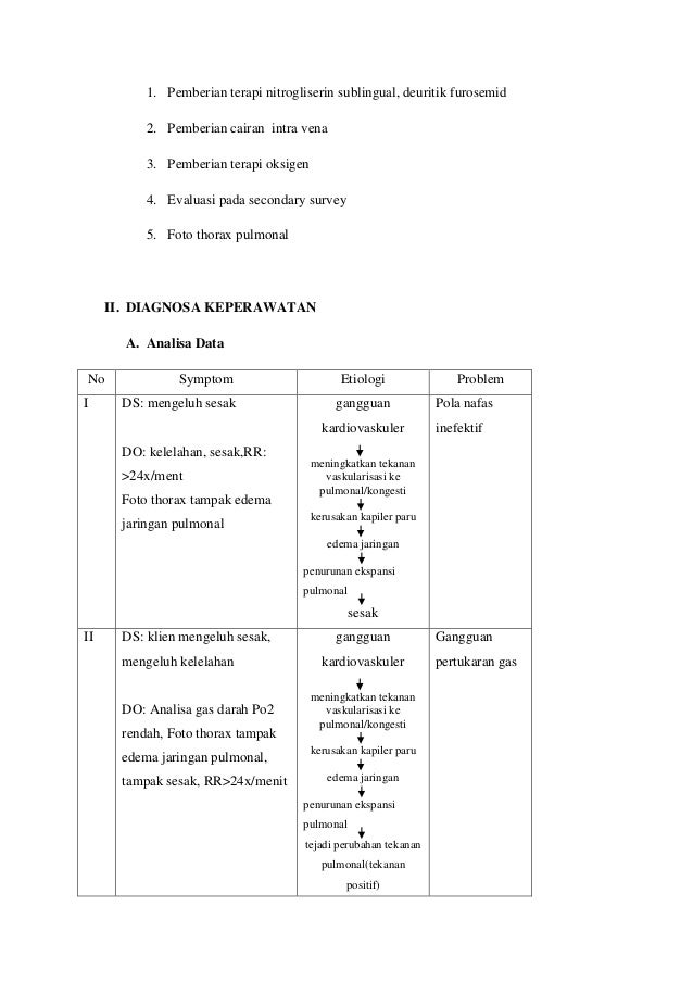
Asuhan Keperawatan Pada Pasien Edema Anasarka Preview dan Sample

Unduh eBook Lainnya

Bila kamu ingin cari-cari ebook lain selain asuhan keperawatan pada pasien edema anasarka. Cukup dengan ketikkan kata kunci yang anda inginkan di kolom pencarian, dan anda bisa menemukan dokumen yang berkaitan dengan kata kunci. Baca atau download di smartphone atau laptop anda sebagai koleksi yang dapat anda baca sewaktu-waktu .

Cari dan temukan berbagai text dan dokumen berbasis file Microsoft Word, PDF atau Powerpoint dengan mudah serta gratis. Dapatkan file apa-pun yang kamu mau cuma dengan beberapa langkah sederhana .

LihatTutupKomentar

ads1

close